Ahmet Karakoyun1, Yasemin Akkubak2, Mevlüt Hakan Göktepe3, Pınar Diydem Yılmaz4, Cengiz Kadıyoran4, Mustafa Oğul5, Adem Kucuk6

1Department of Physical Medicine and Rehabilitation, Aksaray University Faculty of Medicine, Aksaray, Türkiye
2Department of Physiotherapy and Rehabilitation, Necmettin Erbakan University, Faculty of Health Sciences, Konya, Türkiye
3Department of Internal Medicine, Necmettin Erbakan University Meram Faculty of Medicine, Konya, Türkiye
4Department of Radiology, Necmettin Erbakan University Meram Faculty of Medicine, Konya, Türkiye
5Department of Internal Medicine, Konya Numune Hospital, Konya, Türkiye
6Department of Rheumatology, Necmettin Erbakan University Meram Faculty of Medicine, Konya, Türkiye

Keywords: Ankylosing spondylitis, carotid intima-media thickness, proprotein convertase subtilisin/kexin type 9, subclinical atherosclerosis.

Abstract

Objectives: This study aims to investigate the relationship between proprotein convertase subtilisin/ kexin type 9 (PCSK9) levels and subclinical atherosclerosis (SA) in patients with ankylosing spondylitis (AS).

Patients and methods: Between January 2022 and March 2022, a total of 56 patients (33 males, 23 females; mean age: 37.8±9.3 years; range, 20 to 60 years) who were under regular follow-up in our clinic and fulfilled the criteria of the Modified New York Diagnostic Criteria for AS and American College of Rheumatology (ACR) for AS were included. Age- and sex-matched 56 healthy volunteers (25 males, 31 females; mean age: 38.4±8.2 years; range, 20 to 60 years) were also recruited as the control group. Demographic, clinical, and laboratory data were recorded. The PCSK9 level and carotid intima-media thickness (cIMT) were evaluated using appropriate methods.

Results: The mean serum PCSK9 levels in AS patients (609.3±149.9 vs. 136.3±120.8 ng/mL, p<0.001) and the mean cIMT values (0.51±0.19 vs. 0.43±0.08 mm, p=0.003) were higher than healthy controls. In the multivariate stepwise regression analysis, there was an independent relationship between SA and PCSK9 (β=0.324, p=0.001). Additionally, there was an independent relationship between carotid plaque and PCSK9 (β=0.265, p=0.006). Based on the receiver operating characteristic curve analysis, the optimal PCSK9 cut-off value for plaque was 472.0 ng/mL, sensitivity 90.9%, specificity 65.0% (area under the curve [AUC]=0.759; 95% CI: 0.660-0.857, p=0.005). The optimal PCSK9 cut-off value for SA was 459.5 ng/mL, sensitivity 63.2%, specificity 63.0% (AUC=0.625; 95% CI: 0.512-0.739, p=0.031).

Conclusion: Our study showed that serum PCSK9 levels in patients with AS were higher than that in healthy individuals and were associated with SA and arterial plaque formation. In the light of these findings, PCSK9 may accelerate SA and carotid plaque formation in patients with AS, regardless of the LDL cholesterol level. There may be no relationship between PCSK9 levels and disease activity in patients with AS.

Introduction

Ankylosing spondylitis (AS) is a chronic autoimmune inflammatory disease involving large joints, such as the spinal, sacroiliac, and shoulder joints, causing fusion accompanied by frequent human leukocyte antigen-B27 (HLA-B27) positivity.[1] Although the prevalence of AS varies geographically, it ranges between 0.1 and 1.4%.[2] Typically, AS affects young men between the ages of 20 and 40 years. However, the prevalence of AS has recently increased in women.[3]

Ankylosing spondylitis often causes systemic involvement and affects the eyes, skin, kidneys, gastrointestinal system and cardiovascular system.[4] According to previous studies, the cardiovascular system involvement of AS is seen in 2 to 10% of cases.[5] Asymptomatic atherosclerosis can be also seen at an early age in AS.[6] In addition, aortitis, aortic valve diseases, hypertension, ischemic heart disease, cardiomyopathy, and significant conduction disorders are common in AS.[7]

Early detection of subclinical atherosclerosis (SA) is significant for slowing and preventing the progression of atherosclerotic diseases. Carotid intima-media thickness (cIMT) measurement is a cost-effective method which has long been used to detect SA.[8] The cIMT differs between sexes and shows a progressive increase with advancing age annually.[9] Inflammation and oxidative stress accelerate SA in AS patients.[10] Even at an early age, SA in patients with AS can be detected by cIMT.[11]

Proprotein convertase subtilisin/kexin type 9 (PCSK9) is a serine protease in glycoprotein structure consisting of 692 amino acids, belonging to the family of proprotein convertors released from tissues such as the liver, kidney, small intestine, and central nervous system.[12,13] It binds to low-density lipoprotein (LDL) receptors (LDLRs) on the liver surface and cleaves them.[14] The breakdown of LDLR reduces the clearance of LDL from the blood and predisposes patients to atherosclerosis and coronary artery disease.[15] The PCSK9 inhibitors prevent the breakdown of LDLR, thereby leading to a decrease in LDL levels.[16] In addition, PCSK9 induces atherosclerosis by increasing oxidative stress and cytokine release regardless of LDL levels.[17]

In the literature, there is strong evidence that a high LDL level is related to the etiology of AS, as well as atherosclerosis.[18] Therefore, PCSK9 levels in patients with AS may be significant for both atherosclerosis and the etiology of the disease. A previous study reported that patients with axial spondyloarthritis had lower PCSK9 levels than healthy controls.[19] Review of the literature revals that the relationship between PCSK9 and AS and cIMT is unclear. In the present study, we, therefore, aimed to investigate the level of PCSK9 in patients with AS and whether there was a relationship between PCSK9 and SA in these patients.

Patients and Methods

This prospective study was conducted at Necmettin Erbakan University Meram Faculty of Medicine, Department of Rheumatology between January 2022 and March 2022. A total of 56 patients (33 males, 23 females; mean age: 37.8±9.3 years; range, 20 to 60 years) who were under regular follow-up in our clinic and fulfilled the criteria of the Modified New York Diagnostic Criteria for AS and American College of Rheumatology (ACR) for AS[20] were included. Age- and sex-matched 56 healthy volunteers (25 males, 31 females; mean age: 38.4±8.2 years; range, 20 to 60 years) were also recruited as the control group. Known cardiovascular disease (hypertension, acute coronary syndrome, valve disease, and heart failure), diabetes mellitus, hyperlipidemia, acute or chronic kidney disease, thyroid disease, neurological diseases, other rheumatic and autoimmune diseases, malignancy, substance abuse, pregnancy, and patients under 18 years of age were excluded from the study. A written informed consent was obtained from each participant. The study was approved by the Necmettin Erbakan University Non-Pharmaceutical and Medical Device Research Ethics Committee (date: 21.01.2022, no: 2022/3615). The study was conducted in accordance with the principles of the Declaration of Helsinki.

Clinical evaluation

All patients were questioned about their sociodemographic characteristics and habits (smoking and alcohol), drug use, comorbidity history, age at diagnosis, age of onset of symptoms, and family history using a standard questionnaire. In the previous week, weakness, fatigue, neck-back-waist or hip pain and pain, swelling, tenderness and morning stiffness in the joints other than these regions were also questioned. The severity of the symptoms was evaluated separately by the physician and the patient with the Visual Analog Scale (VAS).

Disease activity

Disease activity was evaluated with the Bath Ankylosing Spondylitis Disease Activity Index (BASDAI), which evaluates disease activity based on the last week, and the Bath Ankylosing Spondylitis Functional Index (BASFI), which is used to describe and monitor the functional abilities of AS patients.

Laboratory evaluation

After fasting for 10 to 12 h, morning fasting blood samples were taken from brachial venous blood. Total cholesterol, LDL cholesterol, high-density lipoprotein (HDL) cholesterol, triglyceride, erythrocyte sedimentation rate (ESR), high-sensitivity C-reactive protein (hs-CRP), aspartate aminotransferase (AST), alanine aminotransferase (ALT), fasting blood glucose, blood urea nitrogen (BUN) creatinine, uric acid, hormones such as thyroid-stimulating hormone and insulin, and PCSK9 were studied using appropriate methods. The hs-CRP levels of over 3.0 mg/L were considered to indicate a high cardiovascular disease risk.[21]

Detection of PCSK9 levels

Serum PCSK9 levels of individuals were determined using sandwich enzyme-linked immunosorbent assay (ELISA) kits with two antibodies (Cloud Clone Corp., Catalog No: SEE189Hu, TX, USA) in accordance with the manufacturer's instructions.

Carotid intima-media thickness measurements

The cIMT values of all participants, both in the patient and control groups, were obtained by a single radiologist with 10 years of experience in a blindly manner using a Siemens S3000 ultrasound device (Siemens Healthcare GmbH. Erlangen, Germany) and a VF-7.3 superficial probe. It was noted by measuring from the anterior wall 2 cm distal to the bilateral common carotid artery bifurcation level. The cIMT values were calculated by taking the average of the values obtained with both measurements as described previously.[22] Since our patients were young, values above the breakpoint cIMT values for age and sex were considered significant for SA.[23-25]

Statistical analysis

Statistical analysis was performed using the IBM SPSS version 20.0 software (IBM Corp., Armonk, NY, USA). Descriptive data were expressed in mean ± standard deviation (SD), median (min-max) or number and frequency, where applicable. The Kolmogorov-Smirnov test was used to determine whether the groups were homogeneously distributed. Analysis of continuous variables was evaluated using the Student t-test and the Mann-Whitney U test, while categorical values were evaluated using the chi-square test. The Pearson correlation or Spearman correlation analyses were used to examine the association between PCSK9 and SA. Independent variables were determined by a multivariate stepwise linear regression test. The diagnostic efficacy of PCSK9 for predicting SA and carotid plaque in patients with AS was evaluated using the receiver operating characteristic (ROC) curve analysis. The optimal PCSK9 cut-off values for the SA and carotid plaque in patients with AS were determined based on the Youden's J statistic. A p value of <0.05 was considered statistically significant with 95% confidence interval (CI).

Results

Baseline demographic and clinical characteristics of the AS patients are given in Table 1.

The mean PCSK9 levels of AS patients (609.3±149.9 vs. 136.3±120.8 ng/mL, p<0.001) and the mean cIMT values (0.51±0.19 vs. 0.43±0.08 mm, p=0.003) were higher than the PCSK9 levels and cIMT values of healthy controls.

The cIMT values of 26 patients with AS and 12 healthy controls were above the normal range for age and sex, and these high-value individuals were considered to have SA. Carotid plaque was detected in 11 (19.6%) patients with AS, and no plaque was detected in healthy controls (p<0.001). Additionally, the hs-CRP values of AS patients were higher in the control group (p=0.006). The hs-CRP values of 25 patients with AS and 10 healthy controls were >3 mg/L, and these individuals were considered to have an increased cardiovascular disease risk. The lipid parameters of patients with AS were similar to those of healthy controls. All biochemical results of the patient and control groups are given in Table 2.

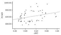
There was a positive correlation between PCSK9 and cIMT (r=0.328, p=0.015), hs-CRP (r=0.290, p=0.032), and fibrinogen (r=0.341, p=0.011). There was also a positive correlation between cIMT and hs-CRP (r=0.442, p=0.001), age (r=0.689, p<0.001), disease duration (r=0.380, p=0.004), BASFI (r=0.269, p=0.047), BASDAI (r=0.276, p=0.041), and fibrinogen (r=0.451, p=0.001). Figure 1 shows the relationship between PCSK9 and SA. All correlation analysis results are shown in Table 3.


In the multivariate stepwise regression analysis, there was an independent relationship between SA and PCSK9 (beta [β]=0.324, p=0.001). Additionally, there was an independent relationship between carotid plaque and PCSK9 (β=0.265, p=0.006). The regression analysis results are shown in Table 4.

Based on the ROC curve analysis, the optimal PCSK9 cut-off value for plaque was 472.0 ng/mL, sensitivity 90.9%, specificity 65.0% (area under the curve [AUC]=0.759; 95% CI: 0.660-0.857, p=0.005). The optimal PCSK9 cut-off value for SA was 459.5 ng/mL, sensitivity 63.2%, specificity 63.0% (AUC=0.625; 95% CI: 0.512–0.739, p=0.031). Figures 2 and 3 show the ROC curves.


Discussion

In the present study, we investigated the level of PCSK9 in patients with AS and whether there was a relationship between PCSK9 and SA in these patients. Our study results showed PCSK9 levels to be significantly higher in patients with AS than in healthy controls. In addition, we found a strong correlation between PCSK9 and cIMT. There was also a highly significant correlation between cIMT and disease activity (BASFI and BASDAI), but not between the PCSK9 and BASFI and BASDAI. In the multivariate regression analysis, PCSK9 was an independent predictor for the existence of SA and carotid plaque.

Cardiovascular involvement is frequent in AS, and mortality due to cardiovascular events has increased in both males and females.[26] In general, SA is common even at early ages in AS.[27] Agents used in the treatment of AS can positively or negatively affect cardiovascular involvement.[27] Increased inflammation and oxidative stress in AS patients may lead to the development of SA at an early age.[28] Cardiovascular disease may occur in patients with AS, although there are no traditional risk factors. Therefore, cIMT measurement should be considered.[29] Previous studies have reported a strong positive correlation between cIMTand disease duration and disease activity index in patients with AS.[30] In the current study, we found the cIMT value of patients with AS to be higher than that of healthy controls. We also showed a significantly positive correlation between cIMT and BASDAI, BASFI, and disease duration.

Low-density protein is atherogenic cholesterol. It is cleared in hepatocytes by binding to LDLR. The PCSK9 binds to LDLR, causing degradation of LDLR. Thus, PCSK9 shows an atherogenic effect.[15] In addition, regardless of the LDL level, PCSK9 induces the development of atherosclerosis and increases platelet activation, oxidative stress and proinflammatory cytokines by stimulating theox-LDL and toll-like receptor 4/nuclear factor kappa-B (TLR4/NF-κB) signaling pathways, thus leading to atherosclerosis.[25,31,32] Vascular plaques have been shown to have ox-LDL in their structure. The PCSK9 accelerates plaque formation in vascular smooth muscle cells, initiated by the association of ox-LDL with the ox-LDL receptor after monocytes/macrophages have entered the vascular stroma.[32,33] In the current study, we detected a strong relationship between carotid plaque and PCSK9 in patients with AS. It has been well documented that PCSK9 levels are closely associated with inflammatory markers, such as increased fibrinogen, leukocyte, and hs-CRP levels.[34] Similarly, we found a strong positive association between PCSK9 and fibrinogen and hs-CRP in our study. Furthermore, hs-CRP is a useful to identify cardiovascular disease risk. In our patients, the number of patients with high hs-CRP and the number of patients with SA detected by increased cIMT were almost the same. However, hs-CRP alone to detect cardiac risk may lead to incorrect results.[21] However, we were unable to detect hs-CRP as an independent predictor for the presence of both SA and carotid plaque in the multivariate analysis. We believe that, combined with PCSK9, hs-CRP may lead to more accurate results in detecting SA in patients with AS. Likewise, fibrinogen plays a role in platelet aggregation and coagulation pathway activation, leading to the development of atherosclerosis. It also increases the risk of plaque rupture by causing fibrous atheroma cap formation.[35] In our study, we found that fibrinogen, such as PCSK9, was highly associated with the presence of carotid plaque in patients with AS. The PCSK9 may also cause SA and plaque formation by increasing the fibrinogen level in patients with AS. Several studies have shown no significant relationship between PCSK9 and lipid parameters.[25,36-38] Consistent with the literature, we found no significant association between PCSK9 and LDL and HDL cholesterol levels in our study. This result suggests that PCSK9 may cause SA and carotid plaque formation with other atherogenic effects, independent of its LDL-lowering impact on patients with AS.

In their study, de Armas-Rillo et al.[19] examined 299 axial spondyloarthritis patients and found that PCSK9 levels were lower than those in the control group. The authors found a strong positive association between PCSK9 and disease activity. Although they found no relationship between PCSK9 and cIMT, there was a strong relationship between the presence of carotid plaque and PCSK9. Contrary to their study, we found that PCSK9 levels were higher in patients with AS than in healthy controls. Unlike the aforementioned study, we observed no significant relationship between PCSK9 and BASFI and BASDAI (for disease activity). However, we detected a positive association between PCSK9 and cIMT. The cut-off value of PCSK9 was calculated as 459.5 ng/mL for SA. Similar to de Armas-Rillo et al.,[19] we found a strong relationship between the presence of plaque and PCSK9, and we calculated the 472.0 ng/mL value of PCSK9 as the cut-off value for the existence of plaque with its high sensitivity and specificity value. Of note, unlike our study, the aforementioned study investigated predominantly male individuals, and the mean age and disease duration of the patients were considerably higher than those of our patients. The discrepancy in the results of two studies can be attributed to this fact.

There is a close relationship between PCSK9 and rheumatic diseases.[39] To date, the PCSK9 level in systemic lupus erythematosus (SLE), which is one of the other rheumatic diseases, has been examined in four studies, and controversial results have been reported. In two studies, the PCSK9 value was found to be higher in SLE patients than in healthy individuals.[38-42] One of these studies discovered a positive correlation between PCSK9 and cIMT. A study found PCSK9 levels to be similar to those in healthy individuals,[41] while another study found PCSK9 levels to be lower than those in healthy controls.[40] These studies reported an association between disease activity and PCSK9. In a study examining patients with systemic sclerosis, the PCSK9 level was found to be low; however, the PCSK9 value was found to be high in the presence of skin findings. A correlation was found between PCSK9 and cIMT in patients with this skin lesion.[43] In another study, PCSK9 levels were high in patients with rheumatoid arthritis.[44] The study reported a positive correlation between PCSK9 and atheroma plaque and SA in these patients.[44] Overall, the PCSK9 levels in rheumatic diseases should be examined with more detailed studies.

Limitations of this study include the relatively small number of patients and the fact that the study was conducted in a single center. Another important limitation is the lack of mid- to long-term follow-up results.

In conclusion, our study showed that serum PCSK9 levels in patients with AS were higher than that in healthy individuals and were associated with SA and arterial plaque formation. In the light of these findings, PCSK9 may accelerate SA and carotid plaque formation in patients with AS, regardless of the LDL cholesterol level. There may be no relationship between PCSK9 levels and disease activity in patients with AS. As our study is a pilot study, further large-scale, well-designed, prospective studies are warranted to confirm these findings.

Citation: Karakoyun A, Akkubak Y, Göktepe MH, Diydem Yılmaz P, Kadıyoran C, Oğul M, et al. Increased PCSK9 associated with cIMT in AS: A useful marker for subclinical atherosclerosis in patients with ankylosing spondylitis. Arch Rheumatol 2024;39(4):652-661. doi: doi: 10.46497/ArchRheumatol.2024.10625.

Author Contributions

Conception: A.K., A.K., M.H.G.; Design: A.K., Y.A.; Fundings: A.K., Y.A., M.O.; Materials: Y.A., M.O.; Data collection and/or processing: M.H.G., P.D.Y. C.K.; Analysis and/or interpretation: A.K., A.K.; Literature review: M.H.G. A.K.; Writer: M.H.G., A.K, A.K.

Conflict of Interest

The authors declared no conflicts of interest with respect to the authorship and/or publication of this article.

Financial Disclosure

The authors received no financial support for the research and/or authorship of this article.

Data Sharing Statement

The data that support the findings of this study are available from the corresponding author upon reasonable request.

References

  1. Zhu W, He X, Cheng K, Zhang L, Chen D, Wang X, et al. Ankylosing spondylitis: Etiology, pathogenesis, and treatments. Bone Res 2019;7:22. doi: 10.1038/ s41413-019-0057-8.
  2. Dean LE, Jones GT, MacDonald AG, Downham C, Sturrock RD, Macfarlane GJ. Global prevalence of ankylosing spondylitis. Rheumatology (Oxford) 2014;53:650-7. doi: 10.1093/rheumatology/ket387. DOI: 10.1093/rheumatology/ket387
  3. Haroon NN, Paterson JM, Li P, Haroon N. Increasing proportion of female patients with ankylosing spondylitis: A population-based study of trends in the incidence and prevalence of AS. BMJ Open 2014;4:e006634. doi: 10.1136/ bmjopen-2014-006634. DOI: 10.1136/bmjopen-2014-006634
  4. Elewaut D, Matucci-Cerinic M. Treatment of ankylosing spondylitis and extra-articular manifestations in everyday rheumatology practice. Rheumatology (Oxford) 2009;48:1029-35. doi: 10.1093/rheumatology/kep146. DOI: 10.1093/rheumatology/kep146
  5. Giray E, Yağcı ‹. Cardiac rehabilitation in a patient with ankylosing spondylitis: A single-program, doubleeffect. Turk J Phys Med Rehabil 2018;65:194-7. doi: 10.5606/tftrd.2019.2401.
  6. Verma I, Krishan P, Syngle A. Predictors of atherosclerosis in ankylosing spondylitis. Rheumatol Ther 2015;2:173-82. doi: 10.1007/s40744-015- 0017-8. DOI: 10.1007/s40744-015-0017-8
  7. Ozkan Y. Cardiac involvement in ankylosing spondylitis. J Clin Med Res 2016;8:427-30. doi: 10.14740/jocmr2488w. DOI: 10.14740/jocmr2488w
  8. Kasliwal RR, Bansal M, Desai D, Sharma M. Carotid intima-media thickness: Current evidence, practices, and Indian experience. Indian J Endocrinol Metab 2014;18:13-22. doi: 10.4103/2230-8210.126522. DOI: 10.4103/2230-8210.126522
  9. Łoboz-Rudnicka M, Jaroch J, Bociąga Z, Rzyczkowska B, Uchmanowicz I, Polański J, et al. Impact of cardiovascular risk factors on carotid intima-media thickness: Sex differences. Clin Interv Aging 2016;11:721-31. doi: 10.2147/CIA. S103521. DOI: 10.2147/CIA.S103521
  10. Arida A, Protogerou AD, Kitas GD, Sfikakis PP. Systemic inflammatory response and atherosclerosis: The paradigm of chronic inflammatory rheumatic diseases. Int J Mol Sci 2018;19:1890. doi: 10.3390/ ijms19071890. DOI: 10.3390/ijms19071890
  11. Tyrrell PN, Beyene J, Feldman BM, McCrindle BW, Silverman ED, Bradley TJ. Rheumatic disease and carotid intima-media thickness: A systematic review and meta-analysis. Arterioscler Thromb Vasc Biol 2010;30:1014-26. doi: 10.1161/ ATVBAHA.109.198424. DOI: 10.1161/ATVBAHA.109.198424
  12. Horton JD, Cohen JC, Hobbs HH. PCSK9: A convertase that coordinates LDL catabolism. J Lipid Res 2009;50 Suppl:S172-7. doi: 10.1194/jlr. R800091-JLR200. DOI: 10.1194/jlr.R800091-JLR200
  13. Stoekenbroek RM, Lambert G, Cariou B, Hovingh GK. Inhibiting PCSK9 - biology beyond LDL control. Nat Rev Endocrinol 2018;15:52-62. doi: 10.1038/ s41574-018-0110-5. DOI: 10.1038/s41574-018-0110-5
  14. Lagace TA. PCSK9 and LDLR degradation: Regulatory mechanisms in circulation and in cells. Curr Opin Lipidol 2014;25:387-93. doi: 10.1097/ MOL.0000000000000114. DOI: 10.1097/MOL.0000000000000114
  15. Shapiro MD, Fazio S. PCSK9 and atherosclerosis - lipids and beyond. J Atheroscler Thromb 2017;24:462- 72. doi: 10.5551/jat.RV17003. DOI: 10.5551/jat.RV17003
  16. Tveten K, Str M TB, Berge KE, Leren TP. PCSK9- mediated degradation of the LDL receptor generates a 17 kDa C-terminal LDL receptor fragment. J Lipid Res 2013;54:1560-6. doi: 10.1194/jlr.M034371. DOI: 10.1194/jlr.M034371
  17. Punch E, Klein J, Diaba-Nuhoho P, Morawietz H, Garelnabi M. Effects of PCSK9 targeting: Alleviating oxidation, inflammation, and atherosclerosis. J Am Heart Assoc 2022;11:e023328. doi: 10.1161/ JAHA.121.023328. DOI: 10.1161/JAHA.121.023328
  18. Zhong Z, Feng X, Su G, Du L, Liao W, Liu S, et al. HMG-Coenzyme a reductase as a drug target for the prevention of ankylosing spondylitis. Front Cell Dev Biol 2021;9:731072. doi: 10.3389/fcell.2021.731072. DOI: 10.3389/fcell.2021.731072
  19. de Armas-Rillo L, Quevedo-Abeledo JC, de Vera-González A, González-Delgado A, García-Dopico JA, Jimenez-Sosa A, et al. Proprotein convertase subtilisin/kexin type 9 in the dyslipidaemia of patients with axial spondyloarthritis is related to disease activity. Rheumatology (Oxford) 2021;60:2296-306. doi: 10.1093/rheumatology/keaa590. DOI: 10.1093/rheumatology/keaa590
  20. Ebrahimiadib N, Berijani S, Ghahari M, Pahlaviani FG. Ankylosing spondylitis. J Ophthalmic Vis Res 2021;16:462-9. doi: 10.18502/jovr.v16i3.9440. DOI: 10.18502/jovr.v16i3.9440
  21. Yousuf O, Mohanty BD, Martin SS, Joshi PH, Blaha MJ, Nasir K, et al. High-sensitivity C-reactive protein and cardiovascular disease: A resolute belief or an elusive link? J Am Coll Cardiol 2013;62:397-408. doi: 10.1016/j.jacc.2013.05.016. DOI: 10.1016/j.jacc.2013.05.016
  22. Touboul PJ, Hennerici MG, Meairs S, Adams H, Amarenco P, Desvarieux M, et al. Mannheim intima-media thickness consensus. Cerebrovasc Dis 2004;18:346-9. doi: 10.1159/000081812. DOI: 10.1159/000081812
  23. Stein JH, Korcarz CE, Hurst RT, Lonn E, Kendall CB, Mohler ER, et al. Use of carotid ultrasound to identify subclinical vascular disease and evaluate cardiovascular disease risk: A consensus statement from the American Society of Echocardiography Carotid Intima-Media Thickness Task Force. Endorsed by the Society for Vascular Medicine. J Am Soc Echocardiogr 2008;21:93-111. doi: 10.1016/j. echo.2007.11.011. DOI: 10.1016/j.echo.2007.11.011
  24. Gonzalez J, Wood JC, Dorey FJ, Wren TA, Gilsanz V. Reproducibility of carotid intima-media thickness measurements in young adults. Radiology 2008;247:465-71. doi: 10.1148/radiol.2472070691. DOI: 10.1148/radiol.2472070691
  25. Aydogan Baykara R, Yilmaz PD, Göktepe MH, Kadiyoran C, Ogul M, Kucuk A, et al. Proprotein convertase subtilisin/kexin type 9 is associated with atherosclerosis in patients with Behcet’s disease. Clin Exp Hypertens 2022;44:480-6. doi: 10.1080/10641963.2022.2071921. DOI: 10.1080/10641963.2022.2071921
  26. Toussirot E. The risk of cardiovascular diseases in axial spondyloarthritis. Current insights. Front Med (Lausanne) 2021;8:782150. doi: 10.3389/ fmed.2021.782150. DOI: 10.3389/fmed.2021.782150
  27. Bai R, Zhang Y, Liu W, Ma C, Chen X, Yang J, et al. The relationship of ankylosing spondylitis and subclinical atherosclerosis: A Systemic review and meta-analysis. Angiology. 2019;70:492-500. doi: 10.1177/0003319718814309. DOI: 10.1177/0003319718814309
  28. Mathieu S, Soubrier M. Cardiovascular events in ankylosing spondylitis: A 2018 meta-analysis. Ann Rheum Dis 2019;78:e57. doi: 10.1136/ annrheumdis-2018-213317. DOI: 10.1136/annrheumdis-2018-213317
  29. Ionescu M, Ionescu P, Suceveanu AP, Stoian AP, Motofei I, Ardeleanu V, et al. Cardiovascular risk estimation in young patients with ankylosing spondylitis: A new model based on a prospective study in Constanta County, Romania. Exp Ther Med 2021;21:529. doi: 10.3892/etm.2021.9961. DOI: 10.3892/etm.2021.9961
  30. Adua E, Memarian E, Russell A, Trbojević-Akmačić I, Gudelj I, Jurić J, et al. High throughput profiling of whole plasma N-glycans in type II diabetes mellitus patients and healthy individuals: A perspective from a Ghanaian population. Arch Biochem Biophys 2019;661:10-21. doi: 10.1016/j.abb.2018.10.015. DOI: 10.1016/j.abb.2018.10.015
  31. Sundararaman SS, Döring Y, van der Vorst EPC. PCSK9: A multi-faceted protein that is involved in cardiovascular biology. Biomedicines 2021;9:793. doi: 10.3390/biomedicines9070793. DOI: 10.3390/biomedicines9070793
  32. Wu NQ, Shi HW, Li JJ. Proprotein convertase subtilisin/kexin type 9 and inflammation: An updated review. Front Cardiovasc Med 2022;9:763516. doi: 10.3389/fcvm.2022.763516. DOI: 10.3389/fcvm.2022.763516
  33. Cammisotto V, Baratta F, Simeone PG, Barale C, Lupia E, Galardo G, et al. Proprotein Convertase Subtilisin Kexin type 9 (PCSK9) beyond lipids: The role in oxidative stress and thrombosis. Antioxidants (Basel) 2022;11:569. doi: 10.3390/antiox11030569. DOI: 10.3390/antiox11030569
  34. Li S, Zhang Y, Xu RX, Guo YL, Zhu CG, Wu NQ, et al. Proprotein convertase subtilisin-kexin type 9 as a biomarker for the severity of coronary artery disease. Ann Med 2015;47:386-93. doi: 10.3109/07853890.2015.1042908. DOI: 10.3109/07853890.2015.1042908
  35. Sabeti S, Exner M, Mlekusch W, Amighi J, Quehenberger P, Rumpold H, et al. Prognostic impact of fibrinogen in carotid atherosclerosis: Nonspecific indicator of inflammation or independent predictor of disease progression? Stroke 2005;36:1400-4. doi: 10.1161/01.STR.0000169931.96670.fc. DOI: 10.1161/01.STR.0000169931.96670.fc
  36. Zhang Y, Zhu CG, Xu RX, Li S, Guo YL, Sun J, et al. Relation of circulating PCSK9 concentration to fibrinogen in patients with stable coronary artery disease. J Clin Lipidol 2014;8:494-500. doi: 10.1016/j.jacl.2014.07.001. DOI: 10.1016/j.jacl.2014.07.001
  37. Yurtseven E, Ural D, Baysal K, Tokgözoğlu L. An update on the role of PCSK9 in atherosclerosis. J Atheroscler Thromb 2020;27:909-18. doi: 10.5551/ jat.55400. DOI: 10.5551/jat.55400
  38. Fang C, Luo T, Lin L. Elevation of serum Proprotein Convertase Subtilisin/Kexin type 9 (PCSK9) concentrations and its possible atherogenic role in patients with systemic lupus erythematosus. Ann Transl Med 2018;6:452. doi: 10.21037/ atm.2018.11.04. DOI: 10.21037/atm.2018.11.04
  39. Ministrini S, Carbone F. PCSK9 and inflammation: Their role in autoimmune diseases, with a focus on rheumatoid arthritis and systemic lupus erythematosus. Curr Med Chem 2022;29:970-9. doi: 10.2174/09298 67328666210810150940. DOI: 10.2174/0929867328666210810150940
  40. Sánchez-Pérez H, Quevedo-Abeledo JC, TejeraSegura B, de Armas-Rillo L, Rúa-Figueroa I, González-Gay MA, et al. Proprotein convertase subtilisin/kexin type 9 is related to disease activity and damage in patients with systemic erythematosus lupus. Ther Adv Musculoskelet Dis 2020;12:1759720X20975904. doi: 10.1177/1759720X20975904. DOI: 10.1177/1759720X20975904
  41. Liu A, Rahman M, Hafström I, Ajeganova S, Frostegård J. Proprotein convertase subtilisin kexin 9 is associated with disease activity and is implicated in immune activation in systemic lupus erythematosus. Lupus 2020;29:825-35. doi: 10.1177/0961203320926253. DOI: 10.1177/0961203320926253
  42. Fang C, Luo T, Chen X, Lin L. Elevated level of serum PCSK9 in patients with systemic lupus erythematosus. 2018;34:541-5.
  43. Ferraz-Amaro I, Delgado-Frías E, HernándezHernández V, Sánchez-Pérez H, de Armas-Rillo L, García-Dopico JA, et al. Proprotein convertase subtilisin/kexin type 9 in patients with systemic sclerosis. Clin Exp Rheumatol 2020;38 Suppl 125:18-24.
  44. Arida A, Legaki AI, Kravvariti E, Protogerou A, Sfikakis PP, Chatzigeorgiou A. PCSK9/LDLR system and rheumatoid arthritis-related atherosclerosis. Front Cardiovasc Med 2021;8:738764. doi: 10.3389/ fcvm.2021.738764. DOI: 10.3389/fcvm.2021.738764